Kaspa (KAS), le registre distribué qui décuple les capacités du consensus Nakamoto
Suite au passage en Proof of Stake d’Ethereum, Kaspa (KAS) s'est retrouvé sous les feux des projecteurs, avec la migration de nombreux mineurs sur son réseau. Au-delà d’être un simple coin en Proof of Work, Kaspa entend faire bouger les lignes en proposant une infrastructure d’un genre nouveau : le BlockDAG. Décortiquons ensemble les différents aspects qui font de Kaspa la plus singulière des layer 1 du marché des cryptomonnaies.
Qu’est-ce que Kaspa ?
Lancé en novembre 2021, le projet Kaspa entretient de fortes similarités avec Bitcoin, que ce soit au niveau des principes, de la méthodologie ou encore de l’environnement en preuve de travail (PoW).
En effet, Kaspa est basé sur le protocole GhostDAG, qui généralise le consensus Nakamoto à un système de Graphe Orienté Acyclique (DAG), avec pour objectif de le rendre plus scalable que sur sa première implémentation qu’est Bitcoin.
Avant d’aller plus loin sur Kaspa, revenons sur quelques notions essentielles du réseau Bitcoin.

Logo de Kaspa, stylisé par Cryptoast
Achetez des cryptos facilement avec eToroLe consensus Nakamoto
Au moment de la publication de son whitepaper, Bitcoin était décrit comme un système de paiement électronique décentralisé. Or, son unité de compte, le bitcoin avec un « b » minuscule, est à l’heure actuelle majoritairement thésaurisée par ses détenteurs, en témoigne l’existence du fork Bitcoin Cash. Faute de servir aux dépenses quotidiennes ou au sein de la finance décentralisée (DeFi), les propriétés du réseau Bitcoin en font à l’inverse une réserve de valeur idéale. Cette fonction en apparence détournée de ce pour quoi le protocole a été conçu est l’œuvre de l’algorithme de consensus Nakamoto.

Celui-ci se compose de quatre mécanismes fondamentaux :
- La Preuve de Travail (ou PoW) qui correspond à la dépense énergétique nécessaire pour résoudre l’énigme cryptographique du prochain bloc et y inclure les transactions collectées sur le réseau. De cette façon, elle permet d’attacher une valeur implicite aux bitcoins nouvellement émis ;
- La sélection des blocs. Si deux versions d’un même bloc existent, seul celui appartenant à la plus longue chaîne est conservé, tandis que l’autre deviendra orphelin. Notez que plus la vitesse de création des blocs augmente, plus ce phénomène prend de l’ampleur ;
- La rareté qui fait référence aux 21 millions d’unités inscrites dans le code du protocole Bitcoin ;
- La logique économique qui récompense les mineurs pour leur travail de validation et incite les nœuds à propager les blocs valides. Par son design désinflationniste, attribuable aux périodes de « halving », le réseau encourage les comportements honnêtes des participants sur un horizon long terme.
💡 Découvrez les différents consensus utilisés par les blockchains
Sécurité vs. Évolutivité : Pourquoi choisir ?
Cependant, Bitcoin s’est vite heurté à une problématique inhérente au consensus Nakamoto : le compromis entre sécurité et évolutivité. La réponse provient de la taille des blocs et de leur cadence de production, notamment.
En l’occurrence, un bloc est produit toutes les 10 minutes sur le protocole Bitcoin et conditionne ainsi le nombre de transactions entre 3 à 7 par seconde. Cet intervalle de temps permet aux nœuds de prendre connaissance des informations contenues dans le bloc et de l’ajouter à la chaîne, hormis si un conflit avec un homologue est en cours. Ce sera alors le bloc suivant qui déterminera lequel est valide et lequel sera rejeté. L’idée étant de converger vers une seule et même version de l’Histoire.
On comprend alors que le faible débit de transaction sur Bitcoin est intrinsèquement lié à sa forte résilience contre les attaques à 51% et les opérations de double dépense. Cela est dû à la puissance de calcul requise pour réorganiser les blocs dans l’objectif d’annuler un ou plusieurs paiements finalisés sur le réseau. Aujourd’hui, le coût d’une telle opération se chiffrerait en milliards de dollars.
Par ailleurs, Bitcoin dispose indirectement d’une sorte de mécanisme d’auto-destruction. Autrement dit, même en cas de réussite, l’attaquant serait perdant au même titre que les autres parties prenantes, car tous deviendraient alors détenteurs d’une "coquille vide". En effet, si le réseau Bitcoin tombe entre les mains d'une seule et même entité, ce dernier aurait alors échoué dans sa mission et plus personne ne pourrait raisonnablement lui accorder du crédit.
Le modèle de la blockchain est-il constamment voué à être pris en étau entre les aspects sécurité, décentralisation et évolutivité ? Pas tout à fait. Des solutions de mise à l’échelle, baptisés layer 2 ou encore sidechains, ont émergé afin d’améliorer la performance globale des réseaux Bitcoin et Ethereum.
💡 Tout savoir sur les layer 2, les solutions de scalabilité pour les blockchains
Néanmoins, les équipes de Kaspa sont convaincues de pouvoir résoudre le trilemme des blockchains en reposant sur le même consensus que Bitcoin, à quelques différences près. Le trilemme renvoie à cet idéal que toutes les blockchains souhaitent atteindre :
- S’assurer qu’aucun groupe ou individu ne détienne une part significative du réseau ;
- Bénéficier d’un débit important de transactions par seconde ;
- Être suffisamment résilient face aux attaques.

Soit une blockchain est très scalable et sécurisée, mais moins décentralisée. Soit elle est très sécurisée et décentralisée, mais moins scalable. Cependant, il y a un problème concernant cette affirmation car Kaspa n'est pas à proprement parler une blockchain.
Le BlockDAG de Kaspa : un modèle hybride basé sur les technologies de la blockchain et du DAG
Pour ainsi dire, Kaspa n’est ni une blockchain, ni un DAG, mais une combinaison des deux : le BlockDAG. Afin d’y voir plus clair, nous allons introduire chacun de ces termes.
Comme son nom l’indique, la blockchain consiste en une série de blocs, ajoutés les uns après les autres de manière linéaire, selon un consensus déterminé entre l’ensemble des nœuds du réseau. Telles des unités de stockage, les blocs sont chargés de conserver les détails des différentes transactions.

Représentation d'une blockchain (bloc jaune = bloc Genesis/ blocs noirs = blocs de la chaîne principale / blocs violet = blocs d'une chaîne malicieuse ou tentative de fork)
À l’inverse, le DAG ou Graphe Orienté Acyclique en français, est une méthode ancienne de modélisation des données. Elle est notamment utilisée depuis la Rome Antique sous la forme bien connue de l’arbre généalogique.
Le graphe est dit orienté puisqu’il pointe dans une seule direction : des ancêtres vers leur descendance. Et présenté comme acyclique en raison du fait que personne ne peut être son propre parent.

Représentation d'un DAG (cercles = nœuds / flèches = liaisons)
Par ailleurs, un DAG bénéficie d’un temps de confirmation et de finalité très court, car les transactions ne sont pas contenues dans des blocs, mais stockées individuellement au sein du registre. Elles se valident les unes les autres à mesure que les anciennes transactions sont référencées par les nouvelles. Si un nœud est capable de faire le lien entre la transaction confirmée et la toute première initiée sur le graphe, celle-ci sera alors validée.
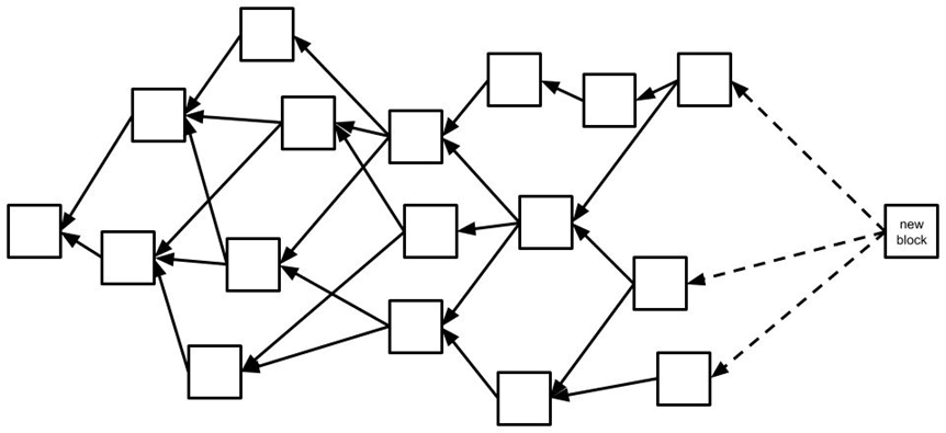
Enfin, le BlockDAG de Kaspa désigne l’architecture mêlant le DAG à un système basé sur Nakamoto. Il vise à redéfinir la structure des données et la manière dont le consensus est établi concernant l’organisation des blocs sur la couche de base. De sorte que la parallélisation permise par le DAG n’accentue pas le phénomène des blocs orphelins observé sur Bitcoin (blocs rejetés qui ne sont pas inclus sur la chaîne principale et diminuent la sécurité du protocole).

Représentation de la nature d’un DAG appliquée à l’infrastructure de Kaspa
Comprenez que le BlockDAG représente une structure mathématique dans laquelle les sommets représentent des blocs et les liaisons renvoient à des blocs enfants et parents.
Achetez des cryptos facilement avec eToroL’écosystème du réseau Kaspa
Kaspa est le fruit de plus de 8 huit années de recherches universitaires et scientifiques menées par son fondateur Yonatan Sompolinsky, avec l’aide de brillantes personnalités telles que Aviv Zohar.
D’une certaine manière, l’objectif de Yonatan Sompolinsky à travers Kaspa est de perpétuer la mission de Bitcoin qu’il considère comme inachevée.
Pour ce faire, Kaspa se repose sur un « BlockDAG » qui peut être perçu comme un cadre évolutif permettant de concevoir différents protocoles de consensus.
À ce jour, GhostDAG est celui le plus abouti et résulte du travail conduit sur les protocoles suivants : Ghost en 2013, Spectre en 2016 et Phantom en 2018.
Chacun de ces algorithmes produit un ordre sur l’organisation des blocs du DAG, élimine les transactions conflictuelles et met en exergue la performance du modèle.
Le protocole de consensus GhostDAG
Au sein du BlockDAG, le système de consensus se présente d’une manière assez différente de celui d’une blockchain classique.
Au lieu d’appliquer la règle de la chaîne la plus longue, Kaspa considère la chaîne principale comme étant la plus lourde. De cette façon, elle permet à d’autres « branches » de se développer et d’exister en parallèle.

De haut en bas : Règle de la plus longue chaîne – Bitcoin / Règle de la plus lourde – Kaspa / Tentative d’attaque, mais poids insuffisant pour rivaliser (blocs 1A à 6A)
À chaque embranchement ou fork, le mécanisme de consensus sélectionne la sous-branche disposant du plus grand nombre de blocs valides dans son passé et qui viendra renforcer la sécurité de la chaîne principale.
Ainsi, aucun bloc n’est périmé ou orphelin : tous sont inclus dans le registre. Cette structure rend possible la génération plus fréquente de blocs, tout en étant résiliente face aux attaques de double dépense.

Classification des blocs sur le BlockDAG de Kaspa (blocs bleus = blocs honnête et réseau plus densément connecté / blocs rouges = blocs malicieux)
À titre de comparaison, les blocs font référence à un seul prédécesseur dans la chaîne Bitcoin, en raison de sa nature linéaire. Au contraire de Kaspa où les blocs renvoient à plusieurs prédécesseurs et forment donc des branches.
Dans les deux cas, les transactions utilisent le modèle UTXO avant d’être regroupées à l’intérieur des blocs.
Le wallet natif, porte d’entrée vers Kaspa
Pour interagir sur le réseau Kaspa, vous aurez besoin de configurer un portefeuille natif desktop (KDX, Kaspanet) ou mobile (Kaspium – bêta ouverte).
L’application Chainge Finance offre une rampe d’accès sans détour par le biais de son service de swap cross-chain. En fonction de la liquidité disponible, il est, par exemple, possible d’échanger ses USDT sur Ethereum contre du KAS sur Kaspa, la cryptomonnaie native du réseau.

Les KIPs : Kaspa Improvements Proposals
Kaspa continue aujourd’hui de bénéficier de nouvelles implémentations tout en étant gouverné de manière décentralisée grâce aux Kaspa Improvements Proposals (KIPs).
À cet effet, chaque membre de la communauté est en mesure de formuler une proposition visant à améliorer l’architecture sur laquelle repose Kaspa. Celle-ci peut se voir financer dans la mesure où elle présente un développement pertinent, mais aussi réaliste et à hauteur de ce que les détenteurs et mineurs de la cryptomonnaie KAS sont prêts à donner.
En d’autres termes, il s’agit là d’une sorte de subvention qui permet de rémunérer les différents contributeurs, selon leurs niveaux d’implications (lignes de code produites) lors de l’atteinte d’étapes clés.
Les fonds sont détenus au sein d’un portefeuille multi-signature dédié et administrés par plusieurs trésoriers.
Voici un rapide aperçu des premières propositions de Kaspa :
- Le KIP 1 concerne le passage des nœuds du langage Golang au langage Rust. Elle a été publiée sur le Discord en juillet 2022 et sollicitait un montant de 100 millions de KAS.
- Le KIP 2 renvoie à l’implémentation du protocole DAGKnight pour remplacer le consensus actuel : GhostDAG. Elle a été publiée sur le Discord en novembre 2022 et réclamait un montant facultatif de 70 millions de KAS, afin de faire passer les contributeurs à temps plein sur la proposition.
- Le KIP 3 souhaite simplifier le calcul de la difficulté de minage en examinant un simple échantillon de blocs à la place de l’entièreté des blocs passés.

💡 Pour participer aux discussions, rejoignez le Discord de la communauté Kaspa
Rusty Kaspa, une mise à jour d’envergure
Dans son itération actuelle (Golang), le réseau produit 1 bloc par seconde (bps) pouvant contenir jusqu’à 200 transactions, selon leur taille moyenne. Kaspa est ainsi la couche de base (L1) sous environnement PoW la plus rapide du marché. Néanmoins, cela reste insuffisant pour atteindre une adoption de masse.
En vue d’augmenter la cadence du réseau, Kaspa a choisi de migrer vers le langage Rust qui est souvent loué pour sa capacité à écrire du code performant vis-à-vis du traitement de données, tout en garantissant la stabilité de la mémoire (moins de plantage).
L’objectif est fixé à 30 blocs par seconde. De plus, la roadmap précise que chaque bloc pourra à terme comporter entre 200 à 400 transactions. Par mesure de sécurité, les développeurs ont prévu une marge qui permettra au réseau d’être toujours en mesure de traiter les blocs produits.
Afin de préparer au mieux l’infrastructure, les différents tests sont réalisés sur un réseau distinct appelé « testnet », tandis que les implémentations seront faites progressivement sur la plateforme Kaspa au cours des mois à venir.

Benchmark des performances de Kaspa – Le croisement des lignes rouge et verte représente un scénario non souhaitable
L’arrivée prochaine d’une nouvelle génération de mineurs ?
Kaspa repose sur l’algorithme kHeavy Hash qui est une variante de celui de Bitcoin, le SHA-256. Il offre des garanties similaires en termes de sécurité, tout en mettant l’accent sur l’efficacité énergétique.
Combiné aux règles de consensus du BlockDAG, l’algorithme s’assure que chaque bloc valide contribue à sécuriser le réseau. Contrairement à la règle de la plus longue chaîne, Kaspa n’est pas impacté par le phénomène des blocs périmés qui représentent un gaspillage de temps et d’électricité pour le mineur concerné.
Initialement, Kaspa a été conçu pour supporter la prochaine génération de mineurs photoniques spécialisés (ou optiques).
Plus puissants, moins énergivores, et ne générant pas ou peu de chaleur pour fonctionner, ces appareils n’en sont encore qu’à une étape conceptuelle. Tandis que la technologie optique est d’ores-et-déjà une réalité au sein de nombreux « data centers » à travers le globe.
À l’origine de l’initiative, nous retrouvons l’organisation à but non lucratif PoWx qui a bénéficié d’un financement en 2019 de la part de DAGLabs pour mener ses recherches, l’entité derrière le développement de Kaspa. L’idée théorique étant de dissocier la consommation d’énergie du mécanisme de sécurité du registre. Ce travail donnera naissance à l’algorithme aujourd’hui utilisé par Kaspa, le kHeavy Hash.
Notez que les termes autour de cet accord restent imprécis à ce jour. Par ailleurs, il est peu probable que le collectif en question soit toujours en activité et puisse délivrer un prototype commercialisable.
Récemment, le réseau s’est ouvert aux ASICs. Ces machines calibrées sur un algorithme de minage bien précis (SHA-256, ETHash ou kHeavy Hash...) les rendent bien plus performantes qu’un processeur graphique. En plus de renforcer la sécurité du réseau, les ASICs offrent une certaine stabilité à Kaspa du fait qu’ils ne peuvent être dédiés à d’autres tâches, au contraire d’un processeur graphique qui assure également des fonctions de calcul d’images. Ce type de mineurs étant considéré moins fiable, car rien ne l’empêche de se positionner sur d’autres réseaux, en cas de baisse de la profitabilité.
Grâce à son architecture atypique, Kaspa encourage implicitement la décentralisation du processus de minage. À mesure que le nombre de blocs créés par seconde augmente, les récompenses se font plus fréquentes et donc la probabilité qu’un mineur avec une faible part du hashrate (puissance de calcul) résolve l’énigme du ou des prochain(s) bloc(s) est plus importante. Cela atténue la nécessité de rejoindre une pool de mineurs pour un particulier.
Pour finir, il est difficile de se prononcer sur le nombre de mineurs qui seraient actuellement impliqués dans la sécurisation du réseau Kaspa.

Une majorité des participants au réseau Kaspa optent pour le minage solo (début mai 2023)
Les nœuds, une histoire d’indépendance
Alors que les ASICs et autres machines de minage construisent le BlockDAG, les nœuds d’élagage (ou « pruned ») et d’archivage le distribuent.
Avec l’amélioration prochaine des performances du réseau, Kaspa devrait connaître un afflux important de nouvelles données à traiter puis stocker. Ce changement devrait alourdir davantage encore le registre.
À titre de comparaison, le BlockDAG de Kaspa pèse déjà aussi lourd que la blockchain de Bitcoin en seulement deux ans d’utilisation. Mais existe-t-il une solution pour en réduire la taille ?
C’est alors que le mécanisme de « pruning » (ou élagage en français) vient apporter une réponse concrète à cette problématique de taille du registre.
Ce dernier consiste à supprimer les données contenues à la fois au sein de l’entête (header) et du corps d’anciens blocs finalisés.
Dans le cas des nœuds d’élagage, ils conservent uniquement l’historique des transactions des 3 derniers jours. Dès lors, ces derniers requièrent une configuration matérielle très légère, notamment au niveau de leurs besoins de stockage. La décentralisation du réseau se voit ainsi favorisée.
Par ailleurs, le partenariat de Kaspa avec la solution d’hébergement cloud Flux Network s’inscrit au cœur de cette démarche.
À l’inverse, les nœuds d’archivage détiennent tout l’historique du réseau. S’ils venaient à disparaître, l’accès aux données les plus anciennes serait alors compromis et celles-ci ne pourraient plus être téléchargées par de nouveaux nœuds. Pour autant, les blocs concernés ne porteraient pas atteinte à la sécurité de Kaspa. Par exemple, un bloc finalisé depuis quelques minutes peut être sujet à une réorganisation (ordre de placement sur le graphe). Cependant, plus les blocs s’enchaînent, moins les probabilités qu’un tel phénomène se produise deviennent élevées. Les données des anciens blocs sont alors perçues comme des charges inutiles au fonctionnement d’un registre distribué.
À partir des informations dont nous disposons, il est possible de recenser aux alentours des 200 nœuds publics actifs. Leur présence est particulièrement marquée en Allemagne ainsi qu'aux États-Unis. En l’état, ce chiffre ne dévoile pas une vérité absolue car tous les nœuds ne sont pas pris en compte dans le calcul. Certains peuvent être protégés par des firewalls ou refusent simplement l’ouverture des ports afin de garantir leur anonymat.

Localisation (supposée) des mineurs du réseau Kaspa
💡 Développez vos connaissances de la blockchain avec l'école Alyra
Formez-vous avec Alyra pour intégrer l'écosystème blockchainQuels sont les rôles de la cryptomonnaie KAS ?
À l’image de Bitcoin, Kaspa est avant tout un projet communautaire, qui fonctionne sans autorité centrale. Ainsi, il n’y a pas eu un groupe de participants avantagés par rapport à un autre. La crypto KAS fait donc partie de cette rare catégorie à avoir bénéficié d’un lancement public équitable (ou fair launch), sans aucune forme de premine ou système d’allocations.
Au moment d’écrire ces lignes (juin 2023), le pourcentage de coins minés oscille entre 65 et 70%, pour un nombre total plafonné à 28,7 milliards.
Concernant le calendrier d’émissions des KAS, la phase initiale correspondait au premier semestre suivant la sortie du mainnet et durant laquelle le système était fortement inflationniste avec 500 KAS minés par seconde. Ensuite, la structure d’incitation a laissé place aux « chromatic halvings » où l’émission est divisée par deux tous les ans, avec une diminution progressive ayant lieu chaque mois.
Les émissions de coins KAS s’étendent approximativement jusqu’en avril 2038, soit plus de 15 ans après le minage du bloc Genesis.

Programme d'émission de la cryptomonnaie KAS au fil du temps
Abordons maintenant le sujet de la distribution et de l’activité sur le réseau Kaspa. À la date du 26 mai 2023, on compte près de 270 000 adresses créées. Sur les 90 derniers jours, elles étaient en moyenne 30 000 à être actives pour un nombre avoisinant les 115 000 transactions quotidiennes. En revanche, on remarque une concentration supérieure à 35% de l’approvisionnement en circulation entre les mains de seulement 100 adresses.
Cette information reste à nuancer. Dans le lot, il y a des portefeuilles qui viennent fournir la liquidité nécessaire aux plateformes d’échanges (CEX) et d’autres qui permettent de soutenir le développement de Kaspa, par le biais des donations de la communauté. Gardez toutefois à l’esprit que DAGLabs, l’entité derrière le développement de Kaspa, a été financé par Polychain Capital à hauteur de 8 millions de dollars en 2018.
De ce fait, une certaine partie des fonds ont été utilisés pour louer le matériel nécessaire au minage du KAS pendant les 5 mois ayant suivi le démarrage. Ces KAS représentent près de 850 millions d’unités. Ils offrent, entre autres, une contrepartie financière (ROI) pour la firme de capital-risque et les conseillers du projet.
Comment acheter des KAS de Kaspa ?
Bien que la crypto KAS flirte régulièrement avec le top 100 des cryptomonnaies les plus capitalisées du marché, celle-ci n'est pas encore listée sur des plateformes tier 1 comme Binance, Coinbase, Crypto.com ou encore Kraken.
Cependant, il est possible d'acheter la cryptomonnaie KAS sur une poignée de plateformes centralisées comme Bitget, MEXC, KuCoin, CoinEx ou encore Gate.io. Si l'achat de KAS vous intéresse, vérifiez en amont que la liquidité est suffisante sur la paire que vous avez sélectionnée par rapport au montant de votre ordre.
L’équipe derrière Kaspa
À la sortie de ses études, Yonotan Sompolinsky est encouragé à mettre en pratique ses recherches académiques. L’entreprise de recherche et de développement DAGLabs voit ainsi le jour courant 2018.
L’objectif était de rassembler une équipe de chercheurs et développeurs autour de l’implémentation et la stabilisation des protocoles Ghost, Spectre, mais aussi Phantom au sein d’une plateforme fonctionnelle, connue aujourd’hui sous le nom de Kaspa et dont l’actuel mécanisme de consensus est le GhostDAG.
Après 3 ans de bons et loyaux services, le collectif cesse toute activité contractuelle au lancement du réseau en novembre 2021. Depuis, le flambeau a été repris par la communauté, bien que les principaux cerveaux derrière Kaspa soient toujours présents, mais seulement à temps partiel.
Vous trouverez ci-dessous une liste de ses contributeurs principaux :
- Yonatan Sompolinsky – Fondateur de Kaspa, cryptographe, mathématicien et post-doctorant au sein de l’équipe de recherche MEV à Harvard ;
- Aviv Zohar – Directeur de thèse à l’université hébraïque de Jérusalem et co-auteur du papier sur le protocole Ghost ;
- Michael Sutton – Chercheur et développeur de systèmes distribués et d’algorithmes parallèles ;
- Shai Wyborski – Chercheur et co-auteur du papier sur le protocole GhostDAG ;
- Ori Newman – Développeur de systèmes distribués ;
- Mike Zak – Développeur de systèmes distribués ;
- Elichai Turkel – Cryptographe et développeur.

Kaspa est un projet open-source qui incarne la décentralisation à tous les niveaux. À ce titre, la communication sur les réseaux sociaux, la création de contenus ou encore le développement de l’écosystème, au sens large, relève de l’initiative de personnes volontaires et passionnés. Vous pouvez jeter un œil à l’ensemble des contributeurs en cliquant ici.
Notre avis sur le réseau Kaspa
Kaspa souhaite perpétuer la mission originelle de Bitcoin en étant le réseau de paiement décentralisé que celui-ci aurait dû devenir. Son code unique, dont a hérité le BlockDAG, pourrait bien lui permettre de réussir, là où de nombreux forks ont échoué par le passé, à l’instar de Litecoin ou encore Bitcoin Cash.
Néanmoins, la volatilité de la cryptomonnaie KAS pose problème, tout comme ses émissions d’ailleurs, qui devront un jour céder leur place aux seuls frais payés par les utilisateurs. Cette structure d’incitation semble fragile, d’autant plus qu’elle repose sur une perspective de forte appréciation du cours du KAS à moyen-long terme.
Malgré toutes les belles qualités qu’on lui prête, Kaspa génère une traction insuffisante, que ce soit pour justifier de la résilience de son infrastructure ou même égaler le niveau d’activité on-chain actuel des autres réseaux de layer 1.
C’est en partie pour cette raison que la communauté réfléchit à l’implémentation des smart contracts. La technologie des rollups pourrait ainsi être bénéfique au projet en le reliant à l’écosystème Ethereum.
Comme le mentionne sa roadmap, il reste de nombreux développements techniques à venir. Nul ne sait le temps que cela prendra. En revanche, une question demeure. Est-ce que Kaspa et plus largement le modèle BlockDAG seront adoptés par le marché ? Affaire à suivre.
👉 Découvrez plus de 100 fiches synthétiques sur les cryptomonnaies
Quel est votre avis sur Kaspa et sa crypto KAS ?
La Newsletter crypto n°1 🍞
Recevez un récapitulatif de l'actualité crypto chaque jour par mail 👌
Certains contenus ou liens dans cet article peuvent être de la publicité. Cryptoast a étudié les produits ou services présentés, mais ne saurait être tenu responsable de tout dommage ou perte liés à leur usage. Investir dans les cryptomonnaies comporte des risques. N'investissez que ce que vous êtes prêt à perdre.
