Uniris (UCO), comment la startup française innove avec sa « transaction chain » ArchEthic ?
Après des années de travail, le projet Uniris (UCO) a franchi une nouvelle étape majeure dans son développement en lançant le mainnet de sa blockchain ArchEthic. Qu'apporte véritablement cette nouvelle blockchain et comment fonctionne-t-elle ? On fait le tour de ses particularités techniques.
Cet article vous est présenté en collaboration commerciale avec Uniris (en savoir plus)
Que résout la blockchain ArchEthic d'Uniris ?
Créé en 2017 à l’issue des 2 années de recherche fondamentale, le projet français Uniris est né des travaux de chercheurs de l'École Polytechnique et du CNRS, accompagnés par des ex-employés de Google, Mastercard, ou encore Mozilla.
Le projet Uniris (UCO) est né d’un constat simple : bien qu’omniprésente et indispensable dans nos vies, l’informatique n’en est pas moins source de difficultés et d'inquiétudes. En effet, l'usage d'un site web ou d'une application implique de recourir à des intermédiaires de confiance, à qui l'on divulgue nos informations personnelles. Comment s'assurer que ce système, dont on sait par avance que certains tenteront de le détourner, puisse garantir la sécurité de nos données et informations personnelles ?
Le principe de la blockchain, et notamment du réseau Bitcoin (BTC), répond justement à cette problématique. Toutefois, malgré sa perfection conceptuelle et la robustesse dont il a fait preuve ces dernières années, plusieurs faiblesses sont apparues ; la scalabilité du réseau qui empêche une utilisation massive, une consommation d'énergie trop importante, complexité de sécurisation de l'identité, ou encore des sujets de gouvernance.
Ainsi, l'utilisation et le déploiement d'une telle blockchain à l'échelle mondiale poseraient plusieurs problèmes. Tout d'abord, des milliards de transactions seraient amenées à être opérées et ne pourraient pas être intégrées dans une seule chaine de bloc. De plus, avec les méthodes de consensus actuelles qui demandent d'interroger systématiquement tous les nœuds, il serait impossible d'assurer ces potentielles milliards de transactions. Pour finir, il serait impossible de continuer à faire fonctionner le réseau correctement pour les utilisateurs, à moins de le ralentir considérablement, comme c'est déjà le cas sur Bitcoin.
Le projet d'Uniris a justement pour ambition de proposer une solution technique répondant à ces problématiques majeures. Dans la suite de cet article, et à l'occasion de la sortie du mainnet de sa blockchain ArchEthic, nous allons détailler comment la solution proposée par Uniris ambitionne de contrecarrer chacune des faiblesses des blockchains actuelles en déployant un réseau décentralisé, interopérable, soutenant un million de transactions par seconde tout en se prévenant de tout type d'attaques connues.
Uniris : un réseau réellement décentralisé et sans limites
L'innovation d'Uniris, une « transaction chain »
Le projet d'Uniris est véritablement innovant pour de nombreuses raisons, à commencer par le fait que la blockchain ArchEthic est une « transaction chain ». Au lieu d'avoir des blocs contenant de multiples transactions liés entre eux par des chaines, chaque bloc est réduit à sa version atomique (la plus minuscule). Ainsi, un bloc ne représente qu'une seule transaction disposant de ses propres preuves de validation.
Une fois la transaction validée, celle-ci sera synchronisée et sauvegardée sur sa propre transaction chain. Toutes les transactions de même nature sont regroupées dans une même chaine de transaction. Finalement, ce principe permet de paralléliser les validations et de fait, d'améliorer la scalabilité du réseau.
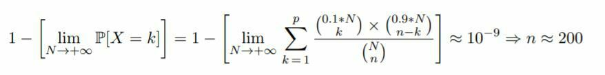
Pour assurer le fonctionnement de la validation d’une transaction, comme évoqué ci-dessus, avec une marge d’erreur de 10^-9 (extrêmement faible), et en considérant en permanence que potentiellement 90% du réseau pourrait être « malveillant », le nombre de nœuds participants à la validation de la transaction devra toujours satisfaire la propriété suivante :

Figure 1 : Loi de répartition hypergéométrique - Source : Uniris Yellow Paper
La sélection d'un nœud s'opère grâce à un consensus spécial créé par l'équipe d'Uniris : le Consensus ARCHE (Atomic Rotating Commitment Heuristic) qui signifie en français « validation atomique obtenue par élection heuristique tournante ».
C'est cette loi mathématique qui régit son fonctionnement, et son implémentation dans la blockchain Uniris implique plusieurs choses : amélioration de la scalabilité du réseau, renforcement de la sécurité, facilitation du stockage des données et réduction de la consommation énergétique.
La scalabilité du réseau
La puissance de la loi mathématique décrite ci-dessus permet d’obtenir un consensus formel global à partir d’une infime partie des nœuds. En effet, le réseau Uniris s’appuie sur les propriétés de cette loi afin d'obtenir avec certitude (>99,9%) la même réponse en interrogeant 200 noeuds qu’en en interrogeant 100 000. C'est le principe du sharding.
Dans le cas d'une blockchain classique, l'information est distribuée également entre tous les nœuds du réseau, qui reçoivent et détiennent une copie du registre. Cela augmente considérablement la sécurité et la solidité du réseau, au détriment de sa rapidité d'exécution.
Assez logiquement, dans le cas de la blockchain d'Uniris, ne solliciter qu'une centaine de nœuds au lieu de l'entièreté des nœuds du réseau pour valider les transactions allège considérablement la lourdeur opérationnelle du réseau.
La sécurité du réseau
Pour simplifier le fonctionnement de la loi de distribution mathématique présentée ci-dessus, ce nouveau type de procédé permet de supporter un risque de corruption de réseau aussi faible que 10^-9, et cela reste valable même si 90% de nœuds sont malveillants.
De plus, si le nombre de nœuds du réseau augmente, la probabilité de détecter une anomalie parmi les nœuds sélectionnés pour effectuer une transaction, si toutefois elle existait, augmente drastiquement. En comparaison avec les autres blockchains, celle d'Uniris pourrait continuer de fonctionner correctement, même avec 90% du réseau malveillant.
Le stockage des données
Lors de la validation d'une transaction, l'algorithme d'Uniris applique le principe de réplication. En d'autres termes, à chaque transaction, un pool ou un ensemble de nœuds de stockage est déterminé et reçoit une copie de la transaction effectuée afin de la sauvegarder.
Grâce au sharding (point évoqué au-dessus, i.e fragmentation des données), les nœuds sont moins chargés en données et peuvent stocker au minimum entre 190 et 9000 fois le nombre de transactions du réseau Bitcoin.
La consommation d'énergie
L'équipe d'Uniris a estimé la consommation énergétique du réseau ArchEthic, en supposant qu'il couvrait les activités de la blockchain Bitcoin actuellement. Si l'on considère que 10 nœuds sont dédiés pendant 10 secondes pour valider et répliquer une transaction, et que Bitcoin traite 93 millions de transactions par an, il faudrait 295 nœuds d'ArchEthic pour couvrir la puissance de minage actuelle du réseau Bitcoin.
Sachant qu'un nœud dépense 15 Wh, sur une année, la technologie d'Uniris consommerait 38 805 kWh/an soit 3,6 milliards de fois moins que Bitcoin lui-même.
? Pour davantage d'informations sur le plan technique du projet, voici le yellowpaper d'Uniris.
Cas d'usage : le vote décentralisé
Le processus de vote est un élément très important dans un système démocratique, à condition qu'il se déroule de manière équitable et transparente, en éliminant autant que possible les moindres aspects de la fraude et de la corruption. Aujourd'hui, le système que l'on utilise pour voter peut sembler dépassé : à l'ère des nouvelles technologies, la comptabilisation des bulletins s'opère toujours manuellement.
Évidemment, la blockchain apparait comme le candidat idéal pour révolutionner ce système devenu obsolète. Sa structure décentralisée assure un certain degré de sécurité et peut contrecarrer les risques de corruption, en plus d'une rapidité d'exécution et un coût négligeable en comparaison aux méthodes actuelles.
Mais est-ce vraiment le cas ? Et bien non, les solutions de blockchain actuelles font également face à leurs propres difficultés et limites. Celles-ci portent notamment sur la scalabilité, qui s'avère être l'un des points forts du projet Uniris.
Jusqu'à aujourd'hui, la plupart des expérimentations de vote avec la blockchain ont eu recours à Ethereum, un réseau capable nativement de traiter 15 transactions par seconde. Ce taux est bien trop faible pour assurer un processus de vote d'un pays comme l'Inde. Avec une population de 1,4 milliard d'habitants, il faudrait en théorie près de 3 ans pour que l'ensemble du processus de vote soit terminé.
Cependant, comme nous l'avons présenté dans la section précédente, le réseau développé par Uniris applique le principe de la sharding grâce à l'implémentation de la loi de distribution hypergéométrique. En ne sollicitant qu'une partie des noeuds pour valider une transaction au lieu de la totalité, le réseau Uniris aurait les capacités de gérer plus de 1 million de transactions par seconde, soit largement de quoi assurer le dépouillement rapide d'un vote.
Un autre aspect primordial pour le bon déroulement d'un vote par la blockchain est la sécurité. Il est vrai, les blockchains sont réputées pour avoir un important degré de sécurité. En général, la plupart d'entre elles sont sujettes aux attaques des 51%, une attaque où plus des membres malveillants détiennent plus de 51% des nœuds du réseau.
Cependant, grâce au consensus ARCH qui régit la sélection d'un nœud pour effectuer une transaction sur la blockchain Uniris, la sécurité du réseau est drastiquement augmentée. Il peut continuer à opérer normalement et contrer une attaque, même si celle-ci engage jusqu'à 90% de nœuds corrompus.
? Pour davantage d'informations sur le projet Uniris, retrouvez le whitepaper du projet
En conclusion
Après des années de recherches, ce projet français franchit une nouvelle étape importante en lançant officiellement et en simultané le mainnet et le testnet de sa blockchain ArchEthic. Depuis le 30 juin 2021, les développeurs peuvent notamment déployer leurs applications décentralisées (dApps) sur le mainnet d'Uniris.
Le projet progresse rapidement et continuera d'évoluer au même rythme, puisqu'Uniris a annoncé que de nouvelles fonctionnalités devraient s'ajouter au panel disponible actuellement.
Dans la roadmap, on apprend notamment l'ajout de la technologie des tokens non fongibles (NFT). Uniris étant connu pour travailler sur l'identité décentralisée, cela pourrait correspondre à l'enregistrement des informations sur l'identité des individus sous la forme de NFT.
Pour résumer, retrouvez une vidéo de présentation du projet Uniris :
La Newsletter crypto n°1 🍞
Recevez un récapitulatif de l'actualité crypto chaque jour par mail 👌





Un projet cocorico innovant, avec une équipe de pointe. Je suis les actualités de cette techno depuis la vidéo de présentation faite avec Crypto Matrix, et elle s'avère très prometteuse.
Merci pour cette article.
Article qui résume parfaitement le projet, au top !